6-1-1963
Er zijn van die dagen die in je herinnering gegrift staan. De 6-de januari 1963 is er zo één. Het is één van de wonderbaarlijkste ontwikkelingen in het weer die ik me herinner. We weten allemaal dat het invallen van de vorst een enerverend moment is (ik heb er wel eens slecht van geslapen) maar deze kwam, mede door de gebrekkige verwachtingstechniek van die tijd, heel onverwacht en ook heel kort op het invallen van de dooi. We zaten op 6 januari 1963 in die lichte dooi met volgens het KNMI gisteren nog de verwachting dat er weinig zou veranderen. De temperatuur lag heel weinig boven 0 en de situatie was duidelijk dooiend, althans in de ochtend, een saai dooiweertje.
Wat wij overdag niet wisten, was dat koudere lucht langzaam weer binnen sijpelde; ik kan me niet herinneren of wij daar al iets van hadden meegekregen via de radio. Mogelijk was de hele beweging ook voor het KNMI een verrassing. Geen hoog boven Scandinavië en een onduidelijke situatie op de weerkaart, met natuurlijk nog steeds een hogedrukgebied boven Groenland. Door het passeren van een kleine depressie over Frankrijk en stijging van de luchtdruk tussen Schotland en Noorwegen kwam heel geruisloos een noordoostelijke stroming op gang. Terwijl het bij ons (zuidwest Nederland) nog iets boven 0 was, ging de temperatuur in Leeuwarden om 5 uur onder het vriespunt bij een zwakke uit N tot NO wind. Om 6 uur volgde Eelde, om 9 uur De Kooij, om 11 uur Twente, om 13 uur De Bilt en om 14 uur Rotterdam. Om 17 uur zat Nederland weer geheel in de vorst toen ook in Zuid Limburg ging meedoen. Rond middernacht vroor het op de meeste plaatsen al weer matig met -5,4 in Rotterdam en -8,0 in Leeuwarden. Opnieuw verraste deze winter ons met een inval van de vorst waarbij het KNMI, begrijpelijkerwijs, pas laat doorkreeg wat er ging gebeuren.
In dit fragment uit het dagboek 1963 is te lezen hoe ik de omslag op die zondag voelde beginnen:
------------
6 januari:
Het is mistig, somber weer. De sneeuw is papperig geworden. Erg opwekkend is dat allemaal niet. Op de weerkaart zien we twee oude depressies, één boven de Oostzee en één ten zuidwesten van Ierland. Overdag ben ik onwetend van de nieuwste ontwikkelingen. Om 18 uur lopen we uit de kerk naar huis; ik zie en voel een subtiele verandering in het sneeuwdek. Zie ik nieuwe kristallen glinsteren of lijkt dat maar zo? Kraakt de sneeuw anders? Als dat waar is, wordt het al weer kouder. Dat betekent, dat de vorst nu al terug komt.
Koudegetal : 100,7
-------------
Op de weerkaart van 6-1-63 zien we hoe de veranderingen zich voltrokken. Kleine drukstijging ten noorden van ons: het hoog boven Groenland heeft via een uitloper weer invloed op de stroming bij ons. Een groot lagedrukgebied ligt op de oceaan en de oude dooidepressie ligt met de kern nog bij zuid Zweden.

De weerkaart van 13 uur toont een paar subtiele veranderingen. De rug van hoge druk bij Schotland wordt sterker en ons land begint onder invloed daarvan te komen: de draaiing van de wind naar noord tot noordoost. De oude dooidepressie ligt bij de Golf van Riga en de storing die over Frankrijk trok ligt bij Budapest. Boven ons land zien we een koufront ingetekend dat kennelijk zuidwaarts beweegt. Je vraagt je alleen af: wat wordt het vervolg?

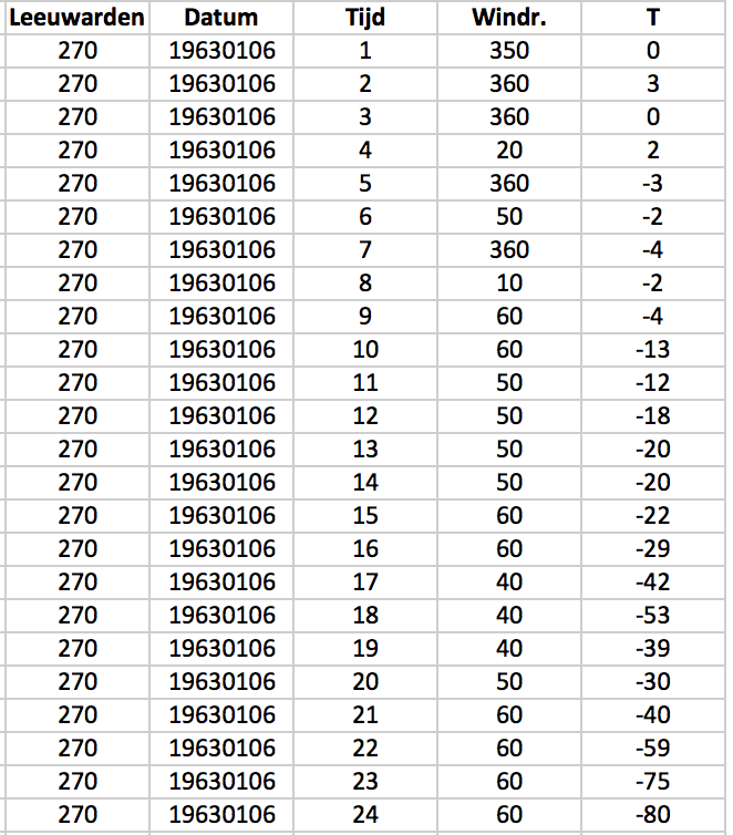
Hier de registratie van Leeuwarden op 6 januari 1963. Als om 5 uur T weer definitief onder 0 gaat heeft de periode van temperaturen om of iets boven 0 slechts 30 uur geduurd.
