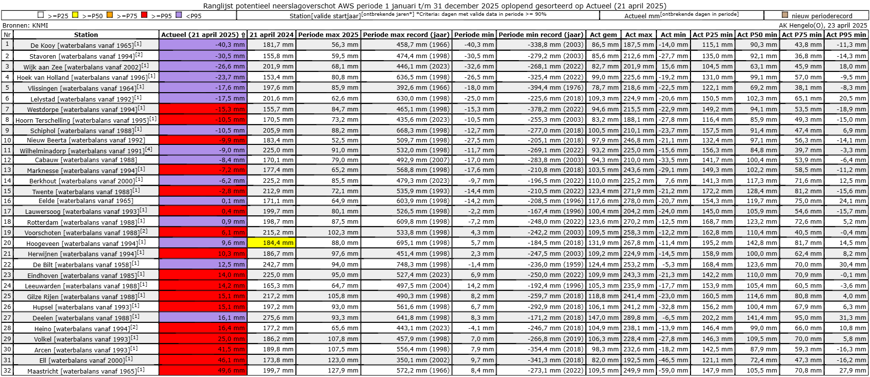
AWS De Kooy momenteel koploper (negatief) potentieel neerslagoverschot

Bericht van: Andre (Hengelo(O)) , 23-04-2025 10:02 



Hic sunt dracones

ECMWF: Vanaf vrijdag droog, zonnig en uiteindelijk erg warm.   ( 2098)
Jelmer (Vlaardingen) ( -2m) -- 23-04-2025 08:13
  Een droogte drama. Dat is het  
Herman (Den Helder) ( 4m) -- 23-04-2025 08:28
Re: Een droogte drama. Dat is het   ( 613)
Erwin (Pepingen) -- 23-04-2025 08:57
Re: Een droogte drama. Dat is het   ( 124)
Herman (Den Helder) ( 4m) -- 23-04-2025 12:42
AWS De Kooy momenteel koploper (negatief) potentieel neerslagoverschot   ( 312)
Andre (Hengelo(O)) -- 23-04-2025 10:02
Schitterende kaarten en tegelijkertijd meteocynisme Herman   ( 141)
Stan (Oss) ( 7m) -- 23-04-2025 12:53
Je bedoelt vast de eerste dagen van mei. 😉   ( 655)
Siegert (Aalten) -- 23-04-2025 08:45
Re: Je bedoelt vast de eerste dagen van mei. 😉   ( 546)
Jelmer (Vlaardingen) ( -2m) -- 23-04-2025 08:51
Nee zeg, begint die ellende nu al?   ( 566)
Frank (Doetinchem) ( 14m) -- 23-04-2025 09:15
Het is nog erg ver: 1,5 week vooruit. Dus de kans dat het uitkomt...   ( 424)
Hadassah (Waddinxveen) -- 23-04-2025 09:17
  Graag voor of op 30 april, 21e eeuwse primeur Frank 😉  
Stan (Oss) ( 7m) -- 23-04-2025 12:54
Zou makkelijk moeten kunnen in april.   ( 130)
Justin (noordeloos) ( -2m) -- 23-04-2025 13:18
Nederland alleen lokaal in 1968   ( 70)
Stan (Oss) ( 7m) -- 23-04-2025 15:31
Nie nĂ³dig..5W spreekt niet tot de verbeelding.   ( 388)
Bela (Bergen op Zoom) -- 23-04-2025 09:20
In 2018 kwam mei wel snel op stoom.   ( 243)
Justin (noordeloos) ( -2m) -- 23-04-2025 09:57
Mei is de afgelopen 10 jaar vaak warm, droog en zonnig.   ( 318)
Jelmer (Vlaardingen) ( -2m) -- 23-04-2025 09:59
  Mooi overzicht!  
Erik (Veendam) -- 23-04-2025 10:06
Re: Mei is de afgelopen 10 jaar vaak warm, droog en zonnig.   ( 225)
Stefan (Winsum) -- 23-04-2025 10:38
Re: Mei is de afgelopen 10 jaar vaak warm, droog en zonnig.   ( 163)
Jelmer (Vlaardingen) ( -2m) -- 23-04-2025 10:43
Re: Mei is de afgelopen 10 jaar vaak warm, droog en zonnig.   ( 150)
Stefan (Winsum) -- 23-04-2025 10:53
2017, 2019, 2021, 2023... Er is een trend 😉   ( 113)
Julian (Arnhem) ( 10m) -- 23-04-2025 11:43
Re: 2017, 2019, 2021, 2023... Er is een trend 😉   ( 89)
Stefan (Winsum) -- 23-04-2025 12:22
Hoi Jelmer, ben je verhuisd naar Vlaardingen?   ( 178)
Wilfried (Amsterdam-Westerpark) -- 23-04-2025 11:35
Re: Hoi Jelmer, ben je verhuisd naar Vlaardingen?   ( 152)
Jelmer (Vlaardingen) ( -2m) -- 23-04-2025 12:30