Ik zie het al, het evenaringsprobleem van weerstatistieken

Bericht van: Andre (Hengelo(O)) , 01-07-2025 00:30 

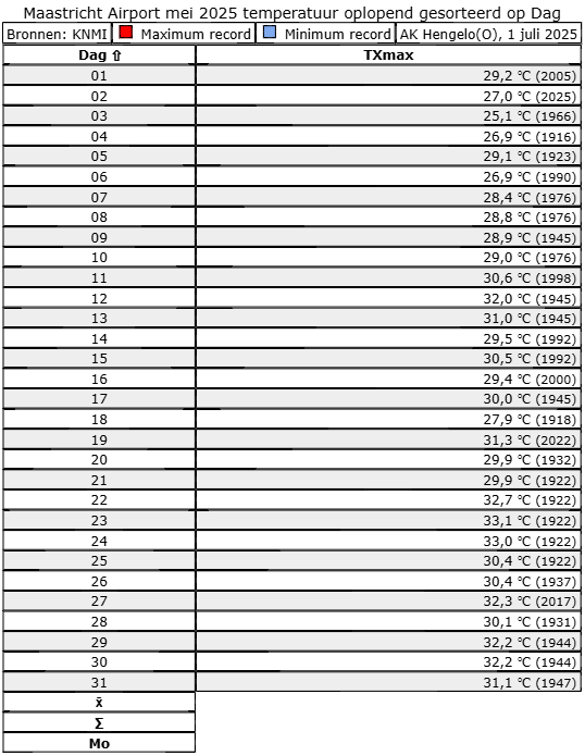
Om een of andere reden verkiest de maker van de site de meest recente in plaats van de oudste data. In dit geval gaat het om 18 mei 1918 (27,9 °C) welke (onterecht) verdrongen is door 18 mei 2022.


Hic sunt dracones

dagrecords maand mei voor Maastricht.   ( 717)
Jaap (Enkhuizen) -- 30-06-2025 23:00
Klopt wel Jaap.   ( 439)
Koos Spakman (Froombosch) -- 30-06-2025 23:30
Re: Klopt wel Jaap.   ( 246)
Jaap (Enkhuizen) -- 30-06-2025 23:37
Hier alle maanden Jaap   ( 231)
Koos Spakman (Froombosch) -- 30-06-2025 23:47
Re: Hier alle maanden Jaap   ( 147)
Jaap (Enkhuizen) -- 01-07-2025 00:05
Je vraag was....   ( 147)
Koos Spakman (Froombosch) -- 01-07-2025 00:11
Apart ik tel er 18 in mei voor 1950   ( 104)
Andre (Hengelo(O)) -- 01-07-2025 00:15
Dit is het lijstje.... 😉   ( 155)
Koos Spakman (Froombosch) -- 01-07-2025 00:20
Ik zie het al, het evenaringsprobleem van weerstatistieken   ( 162)
Andre (Hengelo(O)) -- 01-07-2025 00:30
  Bedankt Andre. Duidelijk  
Koos Spakman (Froombosch) -- 01-07-2025 00:48
Re: Je vraag was....   ( 88)
Jaap (Enkhuizen) -- 01-07-2025 00:20
Grafiekje van de dagrecords.   ( 231)
Mark (Noordwolde, Groningen) -- 30-06-2025 23:48
Re: Grafiekje van de dagrecords.   ( 140)
Mark (Zaanstad) ( -1m) -- 30-06-2025 23:51
Tx datumrecords Maastricht per maand   ( 211)
Andre (Hengelo(O)) -- 30-06-2025 23:54
Locatie waarnemingen Maastricht is verplaatst   ( 162)
Dirk Jan (Zaltbommel) -- 01-07-2025 00:01