Wereldwijd gezien is op jaarbasis de verdamping vrijwel identiek aan de neerslag aangezien de opslagtermen (lucht maar met name bodem) klein zijn en//of relatief langzaam veranderen. Lokaal is het lastiger om er iets zinnigs over te zeggen maar in de meeste gevallen kunnen ze niet al te verschillend veranderen. In Nederland zullen beide vooral in het zomer halfjaar sterk gekoppeld zijn. In de winter kan een toename in neerslag zich uiteraard vooral uiten in meer runoff en geen grote verandering in verdamping.
Voor wat betreft Makkink is het theoretisch gezien wat eenvoudiger. De KNMI scenarios laten de globale straling niet al teveel veranderen ten opzichte van het huidige klimaat. Het huidige jaar is wel een gigantische uitbijter welke enigszins buiten de bandbreedte valt, de tijd zal het leren of dit een incident was.
Het lineaire karakter van Makkink voor wat betreft straling en de constante maakt dat de rest van de gevoeligheid voor temperatuur zich enkel uit in de alom gebruikte partitionering van de beschikbare energie (voor voelbare en latente warmte). Dat is de groene lijn in de onderstaande grafiek, met ook de gerelateerde Bowen-ratio voor een nat-oppervlak.

Voor Makkink geeft dat uitgedrukt als percentage (wat het onafhankelijk van globale straling maakt) deze gevoeligheid met temperatuur. Die neemt dus constant toe (meer verdamping bij opwarming), maar wel steeds minder snel.

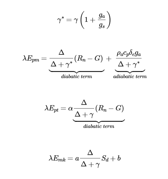
Onderstaande overzicht van formules geeft de relatie tussen Makkink en Priestley-Taylor/Penman-Monteith weer (zie mijn andere post in dit draadje).
