Re : Convergentie-zone zou toch ook bevorderlijk zijn? Hoe..

Bericht van: Bas C. (Oostvoorne) , 23-08-2007 12:44 

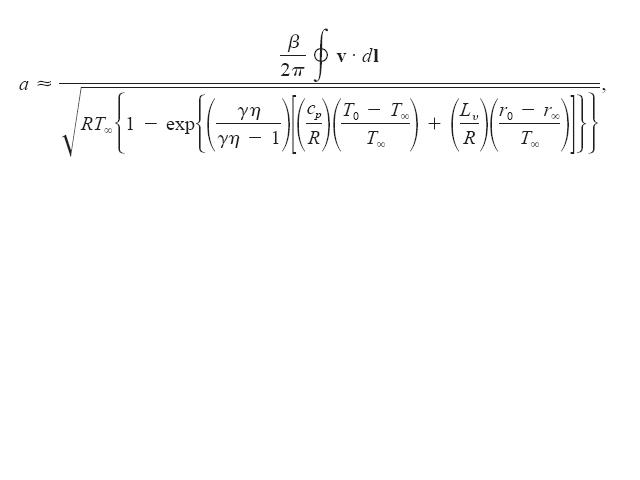
In de theorie van Rennó en Bluestein, wordt een uitdrukking gegeven voor de "radius of maximum wind" van een waterhoos. Uit hun eq. 13 blijkt dat deze straal zelfs recht evenredig is met de hoeveelheid vorticiteit in het "invloedsgebied" (het gebied tot waar luchtdeeltjes worden aangezogen) van de vortex. Ik concentreer me nu alleen even op de integraal boven de deelstreep. Als we de vele andere factoren even constant denken, kun je een idee krijgen wat de invloed van vorticiteit is op de straal van de vortex, oftewel gewoon de breedte van de waterhoos. Het lijkt me aannemelijk dat hoe groter de eventuele straal van een vortex zal zijn, hoe waarschijnlijker het is dat er ook daadwerkelijk een (waarneembare) vortex ontstaat. Zodoende is er dus een directe relatie tussen de hoeveelheid vorticiteit en de kans op waterhozen.

Rennó and Bluesteins equation 13 staat hieronder, ik heb het nog even uitgewerkt (precies zoals ze het zelf beschrijven in hun artikel), zodat het mogelijk wat duidelijker wordt. Ik weet niet in hoeverre je thuis bent in de Analyse, maar hier wordt gebruik gemaakt van de stelling van Stokes.
Zie ook de schets onderaan, het is een bovenaanzicht, met de vortex in het midden. De eerste integraal is over de rand van het geschetste gebied, de tweede is over het oppervlak omsloten door deze rand.

Groeten,
Bas

ps. Als je het niet begrijpt, laat het me dan weten, dan zal ik het proberen wat beter uit te leggen. 🙂






http://ams.allenpress.com/archive/1520-0469/58/8/pdf/i1520-0469-58-8-927.pdf
Bericht laatst bijgewerkt: 23-08-2007 12:52

Klein onderzoekje typische condities voor waterhozen   ( 717)
Alwin (Zeist-West) -- 23-08-2007 08:47
Droge laag ondersteunt theorie Rennó and Bluestein, 2001!   ( 306)
Bas C. (Oostvoorne) -- 23-08-2007 10:02
Re : Interessant, Alwin. 🙂   ( 297)
VdeV(Heerenveen) -- 23-08-2007 00:33
Re : Interessant, Alwin. 🙂   ( 242)
Alwin (Zeist-West) -- 23-08-2007 09:15
Re : Convergentie-zone zou toch ook bevorderlijk zijn? Hoe..   ( 235)
WilcoS (Dordrecht) -- 23-08-2007 11:33
Re : Convergentie-zone zou toch ook bevorderlijk zijn? Hoe..   ( 294)
Bas C. (Oostvoorne) -- 23-08-2007 12:44
Re : Lastig, maar begrijp ik wel............enigszins.   ( 184)
WilcoS (Dordrecht) -- 23-08-2007 13:01
Re : De straal van hozen   ( 275)
VdeV(Heerenveen) -- 23-08-2007 15:46
Re : De straal van hozen   ( 198)
Saskia (Wageningen) ( 11m) -- 23-08-2007 22:09
Re : De straal van hozen   ( 239)
Bas C. (Oostvoorne) -- 23-08-2007 19:34
Re : Convergentie-zone zou toch ook bevorderlijk zijn? Hoe..   ( 306)
Bernard (Bennekom) ( 20m) -- 23-08-2007 11:45
Re : Dank u!   ( 252)
WilcoS (Dordrecht) -- 23-08-2007 11:56
Re : Klein onderzoekje typische condities voor waterhozen   ( 349)
karim (Ellezelles) -- 23-08-2007 01:17
Re : Klein onderzoekje typische condities voor waterhozen   ( 263)
Alwin (Zeist-West) -- 23-08-2007 09:22
Re : Klein onderzoekje typische condities voor waterhozen   ( 190)
Saskia (Wageningen) ( 11m) -- 23-08-2007 22:17
netjes Alwin!   ( 375)
Bernard (Bennekom) ( 20m) -- 23-08-2007 00:22
  De HIRLAM progtemp voor vrijdag is ook typisch  
Bernard (Bennekom) ( 20m) -- 23-08-2007 00:26
Niet iets te droog helemaal onderin?   ( 365)
Ruben (Neeroeteren) -- 23-08-2007 08:04
Enfin, ik probeer dus echt te leren he. Merci   ( 278)
Ruben (Neeroeteren) -- 23-08-2007 12:35
Dat proberen we allemaal Ruben   ( 260)
Bernard (Bennekom) ( 20m) -- 23-08-2007 12:48
Laat antwoord   ( 223)
Alwin (Zeist-West) -- 30-08-2007 20:24
Beetje warm (T/Td2m 23/16), da's wel ongunstig   ( 258)
Alwin (Zeist-West) -- 23-08-2007 09:11
Niet te veel focussen op die 23 graden   ( 258)
Bernard (Bennekom) ( 20m) -- 23-08-2007 11:34
Zeker een waterhozenkans vanmiddag!   ( 369)
Alwin (Zeist-West) -- 23-08-2007 09:06
Re : Zeker een waterhozenkans vanmiddag!   ( 198)
VdeV(Heerenveen) -- 23-08-2007 14:44
Re : Zeker een waterhozenkans vanmiddag!   ( 285)
Alwin (Zeist-West) -- 23-08-2007 15:09
Re : Zeker een waterhozenkans vanmiddag!   ( 222)
VdeV(Heerenveen) -- 23-08-2007 16:08
Re : Zeker een waterhozenkans vanmiddag!   ( 194)
Alwin (Zeist-West) -- 23-08-2007 18:19
Re : Zeker een waterhozenkans vanmiddag!   ( 178)
VdeV(Heerenveen) -- 26-09-2007 18:06
Re : Zeker een waterhozenkans vanmiddag!   ( 215)
WilcoS (Dordrecht) -- 23-08-2007 11:18